Руководитель организации: директор.
В состав комиссии входят: педагог-психолог, учителя-дефектологи (по соответствующему профилю: олигофренопедагог, тифлопедагог, сурдопедагог), учитель-логопед, педиатр, невролог, офтальмолог, оториноларинголог, ортопед, психиатр детский, социальный педагог. При необходимости в состав комиссии включаются и другие специалисты.
Включение врачей в состав комиссии осуществляется по согласованию с органом исполнительной власти субъекта Российской Федерации в области здравоохранения или органом местного самоуправления, осуществляющим управление в сфере здравоохранения.
Состав и порядок работы комиссии утверждаются соответственно органом исполнительной власти субъекта Российской Федерации, осуществляющим государственное управление в сфере образования, и органом местного самоуправления, осуществляющим управление в сфере образования.
Количество комиссий определяется из расчета 1 комиссия на 10 тысяч детей, проживающих на соответствующей территории, но не менее 1 комиссии в субъекте Российской Федерации. Количество, создаваемых комиссий определяется также исходя из сложившихся социально-демографических, географических и других особенностей соответствующей территории.
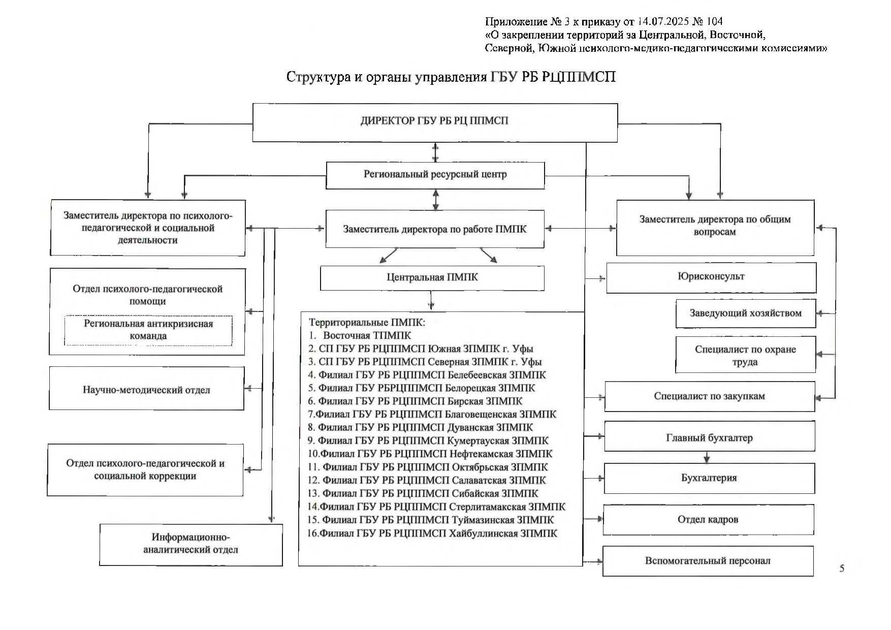
Структурные подразделения
1) Структурное подразделение государственного бюджетного учреждения Республики Башкортостан Республиканский центр психолого-педагогической, медицинской и социальной помощи Южная зональная психолого-медико-педагогическая комиссия г. Уфы
г. Уфа, ул. Авроры 18/2 (Образовательный центр «Йондоз», ), 1 этаж, левое крыло.,
тел.: 8(347) 268-09-22,
е-mail: t.vlaskina@yandex.ru
2) Структурное подразделение государственного бюджетного учреждения Республики Башкортостан Республиканский центр психолого-педагогической, медицинской и социальной помощи Северная зональная психолого-медико-педагогическая комиссия г. Уфы
450032, г. Уфа, ул. Рыбакова 6 а. На время ремонта прием по адресу г. Уфа, ул. Проспект Октября, 115/2.
тел.: 8(347) 240-18-15,
е-mail: spmpk@bk.ru
Филиалы
1) Филиал государственного бюджетного учреждения Республики Башкортостан Республиканский центр психолого-педагогической, медицинской и социальной помощи Белебеевская зональная психолого-медико-педагогическая комиссия
Адрес: 452000, Республика Башкортостан, г. Белебей, ул. им. В.И. Ленина,
д. 1 а,
тел.: 8 (34786) 3-09-82, 4-07-61,
е-mail: pmpk211@mail.ru
2) Филиал государственного бюджетного учреждения Республики Башкортостан Республиканский центр психолого-педагогической, медицинской и социальной помощи Белорецкая зональная психолого-медико-педагогическая комиссия
Адрес: 453505, Башкортостан, г. Белорецк, ул. Уфимская, д. 62,
тел: 8 (34792) 3-05-67,
е-mail: pmpk212@ yandex.ru
3) Филиал государственного бюджетного учреждения Республики Башкортостан Республиканский центр психолого-педагогической, медицинской и социальной помощи Бирская зональная психолого-медико-педагогическая комиссия
Адрес: 452450, Республика Башкортостан, г. Бирск, ул. Мира, д. 34,
тел.: 8 (34784) 3-17-72,
е-mail: birskpmpk@mail.ru
4) Филиал государственного бюджетного учреждения Республики Башкортостан Республиканский центр психолого-педагогической, медицинской и социальной помощи Благовещенская зональная психолого-медико-педагогическая комиссия
Адрес: 453431, Республика Башкортостан, г. Благовещенск, ул. Седова, д. 107
тел.: 8 (34766) 3-21-00,
е-mail: pmpk214@mail.ru
5) Филиал государственного бюджетного учреждения Республики Башкортостан Республиканский центр психолого-педагогической, медицинской и социальной помощи Дуванская зональная психолого-медико-педагогическая комиссия
Адрес: 452530, Республика Башкортостан, Дуванский район, с. Месягутово,
ул. Электрическая, д. 29,
тел.: 8(34798) 3-41-45,
е-mail: duvanpmpk@yandex.ru
6) Филиал государственного бюджетного учреждения Республики Башкортостан Республиканский центр психолого-педагогической, медицинской и социальной помощи Кумертауская зональная психолого-медико-педагогическая комиссия
453300, Республика Башкортостан, г. Кумертау, ул. Искужина, д. 3,
помещение 1,
тел.: 8 (34761) 4-37-58,
е-mail: pmpk216@mail.ru
7) Филиал государственного бюджетного учреждения Республики Башкортостан Республиканский центр психолого-педагогической, медицинской и социальной помощи Нефтекамская зональная психолого-медико-педагогическая комиссия
452680, Республика Башкортостан, г. Нефтекамск, ул.Ленина, д. 22 В
тел.: 8(34783) 4-70-02,
е-mail: neftpmpk@mail.ru
8) Филиал государственного бюджетного учреждения Республики Башкортостан Республиканский центр психолого-педагогической, медицинской и социальной помощи Октябрьская зональная психолого-медико-педагогическая комиссия
452600, Республика Башкортостан, г. Октябрьский, ул. Садовое кольцо, д. 2а,
тел.: 8 (34767) 6-37-80,
е-mail: okt.pmpk@mail.ru
9) Филиал государственного бюджетного учреждения Республики Башкортостан Республиканский центр психолого-педагогической, медицинской и социальной помощи Салаватская зональная психолого-медико-педагогическая комиссия
453252, Республика Башкортостан, г. Салават, ул. М. Гафури, д. 41,
тел.: 8 (34763) 5-37-09,
е-mail: pmpk219@mail.ru
10) Филиал государственного бюджетного учреждения Республики Башкортостан Республиканский центр психолого-педагогической, медицинской и социальной помощи Сибайская зональная психолого-медико-педагогическая комиссия
453830, Республика Башкортостан, г. Сибай, ул. Кирова, д. 34,
тел.: 8(34775) 2-41-89,
е-mail: pmpk_sibay@mail.ru
11) Филиал государственного бюджетного учреждения Республики Башкортостан Республиканский центр психолого-педагогической, медицинской и социальной помощи Стерлитамакская зональная психолого-медико-педагогическая комиссия
453118, Республика Башкортостан, г. Стерлитамак, ул. Худайбердина д. 150,
тел.: 8(3473) 20-59-00,
е-mail: pmpk221@mail.ru
12) Филиал государственного бюджетного учреждения Республики Башкортостан Республиканский центр психолого-педагогической, медицинской и социальной помощи Туймазинская зональная психолого-медико-педагогическая комиссия
452751, Республика Башкортостан, г. Туймазы, ул. Чехова, д. 2А,
тел.: 8 (34782) 7-05-26
е-mail: tpmpk@mail.ru
13) Филиал государственного бюджетного учреждения Республики Башкортостан Республиканский центр психолого-педагогической, медицинской и социальной помощи Хайбуллинская зональная психолого-медико-педагогическая комиссия
453800, Республика Башкортостан, Хайбуллинский район, с. Акъяр, ул.Акмуллы, д. 34,
тел.: 8 (34758) 2-10-76,
е-mail: pmpk_akyar@mail.ru

